Sushi

Maki House Menu Jeddah

Ijms January 2018 Browse Articles
www.mdpi.com

Cherry Garden
cherrygardennh.com

Hotel Loren Suites Jeddah 3 Saudi Arabia From Us 86 Booked
loren-suites-jeddah.booked.net

2

Https Encrypted Tbn0 Gstatic Com Images Q Tbn 3aand9gcqqro63sdf6i1zf3r6vb Pvngykuj8faffcld9xqr1lhh6q3jyb Usqp Cau
encrypted-tbn0.gstatic.com

Reem Alwajeeh On Behance
www.behance.net

Maki House الشوقية
foursquare.com

Reem Alwajeeh On Behance
www.behance.net

Islamic World News Bashar Al Assad Syria
www.scribd.com

Molecules January 2018 Browse Articles
www.mdpi.com

مطعم ماكي Picture Of Maki House Jeddah Tripadvisor
www.tripadvisor.com

Reem Alwajeeh On Behance
www.behance.net

Maki House Hotelroomsearch Net
www.hotelroomsearch.net

Pdf Bani Alawiyyin In Indonesia And The Malay World Network Development And The Role Of Institution In Transmitting The Peaceful Mission Of Islam
www.researchgate.net

Travel Japanoscope
japanoscope.com

مطعم ماكي Picture Of Maki House Jeddah Tripadvisor
www.tripadvisor.com

مطعم ماكي Picture Of Maki House Jeddah Tripadvisor
www.tripadvisor.com

Maki House Restaurant In Jeddah Ksarestaurant Discover New Restaurants In Saudi Arabia
ksarestaurant.com

Cherry Garden
cherrygardennh.com

Saudi Arabia By Destination Magazine Ksa Issuu
issuu.com

Saudi Arabia By Destination Magazine Ksa Issuu
issuu.com

49 Best Logos Images In 2020 Logos Design Logo Inspiration Logos
www.pinterest.com

December 2019 Asymptote Blog
www.asymptotejournal.com

Ijerph July 2 2019 Browse Articles
www.mdpi.com

Immigration Asymptote Blog
www.asymptotejournal.com

Maki House Jeddah Restaurant Reviews Photos Phone Number Tripadvisor
www.tripadvisor.com

The 10 Best Restaurants Near Zaikaki In Jeddah Makkah Province Tripadvisor
www.tripadvisor.com

Maki House السلامة جدة منطقة مكة
foursquare.com

Maki House Photos Jeddah Saudi Arabia Menu Prices Restaurant Reviews Facebook
m.facebook.com

Maki House About Jeddah Saudi Arabia Menu Prices Restaurant Reviews Facebook
www.facebook.com

Maki House المحمدية 6 Tips From 175 Visitors
foursquare.com

Maki House Arabia Home Jeddah Saudi Arabia Menu Prices Restaurant Reviews Facebook
www.facebook.com

Maki House Photos Jeddah Saudi Arabia Menu Prices Restaurant Reviews Facebook
www.facebook.com

Saudi Arabia By Destination Magazine Ksa Issuu
issuu.com

The 10 Best Restaurants Near Jeddah Gulf For Hotel Suites In Makkah Province Tripadvisor
www.tripadvisor.com

Land Water A Chronicle Of Vietnamese As A Diasporic Condition Asymptote Blog
www.asymptotejournal.com

The 10 Best Sushi Restaurants For Lunch In Jeddah
www.tripadvisor.com

The 10 Best Sushi Restaurants For Lunch In Jeddah
www.tripadvisor.com

Pfl8 W2dg1jpfm

Https Dokumen Pub Download Stress And Inflammation In Disorders 1st Edition 9780128123881 Html

Ijms November 2018 Browse Articles
www.mdpi.com

Wakame Ksa By Khalid Temairik
appadvice.com

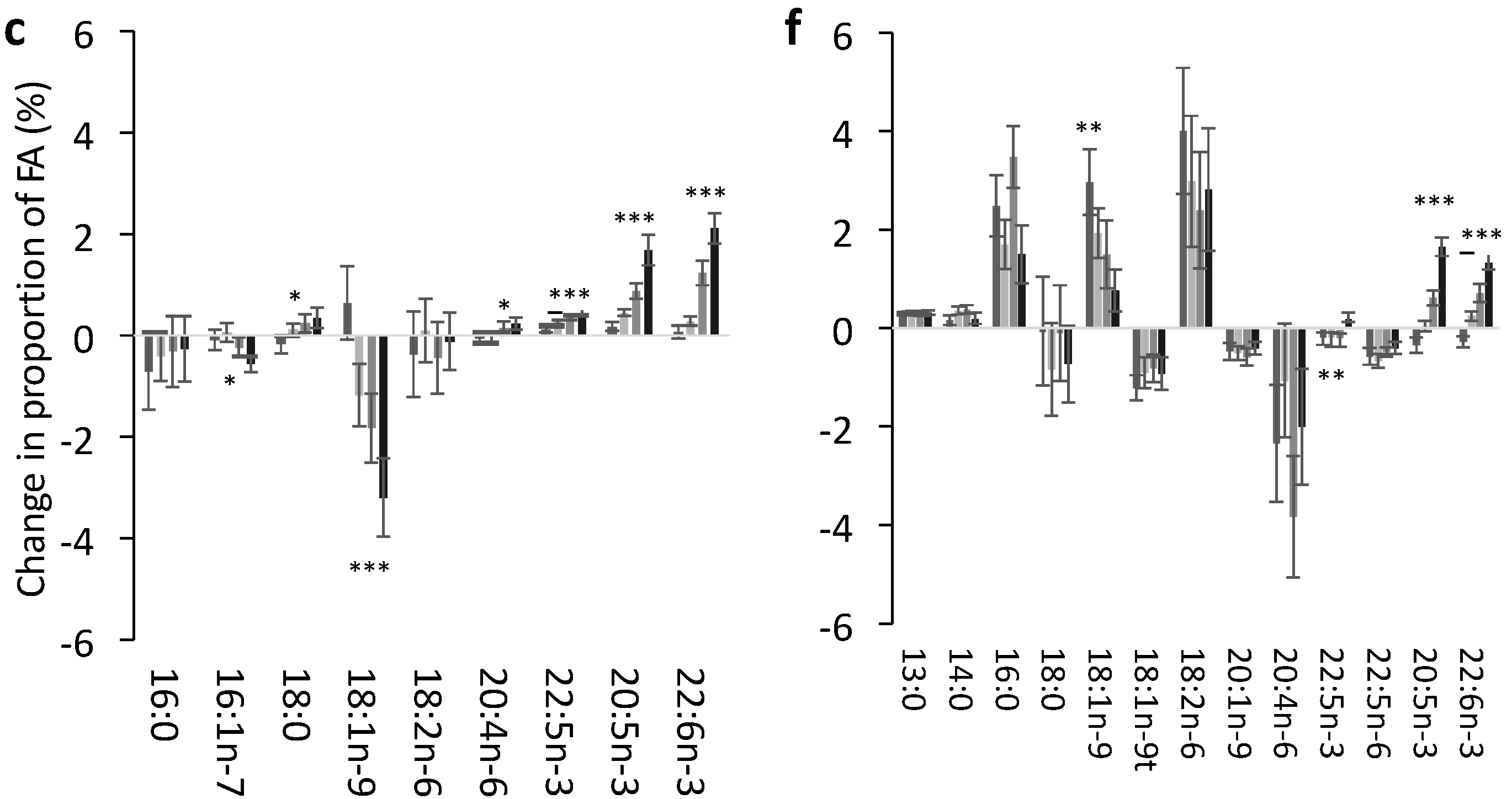
Nutrients Free Full Text The Pattern Of Fatty Acids Displaced By Epa And Dha Following 12 Months Supplementation Varies Between Blood Cell And Plasma Fractions Html
www.mdpi.com

Maki House Restaurant In Jeddah Ksarestaurant Discover New Restaurants In Saudi Arabia
ksarestaurant.com

Https Onlinelibrary Wiley Com Doi Pdf 10 1111 Ijlh 12698

Maki House Jeddah Restaurant Reviews Photos Phone Number Tripadvisor
www.tripadvisor.com

Maki House Home Jeddah Saudi Arabia Menu Prices Restaurant Reviews Facebook
www.facebook.com

Maki House السلامة جدة منطقة مكة
foursquare.com

Dyfclbzpx7ondm

Thirteen Keys To A Doorless House In Toledo On Tela De Sevoya By Myriam Moscona Asymptote Blog
www.asymptotejournal.com

Maki House Delivery In Ar Rawdah Hungerstation
hungerstation.com

Loop Mediated Isothermal Amplification Of Dna Lamp A New Diagnostic Tool Lights The World Of Diagnosis Of Animal And Human Pathogens A Review Scialert Responsive Version
scialert.net

Andrew Shore The British Museum Blog
blog.britishmuseum.org

Ijms January 2018 Browse Articles
www.mdpi.com

Http Usmodernist Org Ai Ai 1998 Pdf

Photos At Maki House ماكي Now Closed الزهراء 18 Tips
foursquare.com

The 10 Best Sushi Restaurants For Lunch In Jeddah
www.tripadvisor.com

The 15 Best Places For Sushi Rolls In Jeddah
foursquare.com

Maki House السلامة جدة منطقة مكة
foursquare.com

بيتوتيbaytoti Home Jeddah Saudi Arabia Menu Prices Restaurant Reviews Facebook
business.facebook.com

Ijerph July 2 2019 Browse Articles
www.mdpi.com

Saudi Arabia By Destination Magazine Ksa Issuu
issuu.com

Maki House Home Jeddah Saudi Arabia Menu Prices Restaurant Reviews Facebook
www.facebook.com

Nutrients Free Full Text The Pattern Of Fatty Acids Displaced By Epa And Dha Following 12 Months Supplementation Varies Between Blood Cell And Plasma Fractions Html
www.mdpi.com

Maki House المحمدية 6 Tips From 175 Visitors
foursquare.com

Photos At Maki House ماكي Now Closed الزهراء 18 Tips
foursquare.com

Maki House جرب عرض إفطار ماكي رمضان كريم Try Facebook
www.facebook.com

31st Annual Meeting And Associated Programs Of The Society For Immunotherapy Of Cancer Sitc 2016 Part Two Journal For Immunotherapy Of Cancer
jitc.bmj.com

Maki House هذا منيو عميلتنا غدير وطلبها المعتاد Facebook
www.facebook.com

Reem Alwajeeh On Behance
www.behance.net

Maki House Photos Jeddah Saudi Arabia Menu Prices Restaurant Reviews Facebook
m.facebook.com

Maki House الشوقية
foursquare.com

Maki House Hotelroomsearch Net
www.hotelroomsearch.net

Maki House جرب عرض إفطار ماكي رمضان كريم Try Facebook
www.facebook.com

Saudi Arabia By Destination Magazine Ksa Issuu
issuu.com

Https Dokumen Pub Download Stress And Inflammation In Disorders 1st Edition 9780128123881 Html

Review Of Cavo Tagoo Hotel In Mykonos Greece Travelentity
www.travelentity.com

Maki House المحمدية 6 Tips From 175 Visitors
foursquare.com

Maki House Photos Jeddah Saudi Arabia Menu Prices Restaurant Reviews Facebook
en-gb.facebook.com

31st Annual Meeting And Associated Programs Of The Society For Immunotherapy Of Cancer Sitc 2016 Part Two Journal For Immunotherapy Of Cancer
jitc.bmj.com

Maki House Hotelroomsearch Net
www.hotelroomsearch.net

Maki House Photos Jeddah Saudi Arabia Menu Prices Restaurant Reviews Facebook
m.facebook.com

Saudi Arabia By Destination Magazine Ksa Issuu
issuu.com

Sushi House Work By Sarah Howaidi
sarahowaidi.com

Pdf Islamic Finance Ethics Concepts Practice
www.researchgate.net

Ijms January 2018 Browse Articles
www.mdpi.com

2

بيتوتيbaytoti Home Jeddah Saudi Arabia Menu Prices Restaurant Reviews Facebook
business.facebook.com

Ijms November 2018 Browse Articles
www.mdpi.com

ماكي هاوس Maki House المحمدية 9 Tips
foursquare.com

Maki House السلامة جدة منطقة مكة
foursquare.com

Maki House In Jeddah Tasteless And Very Disappointing Review Of Maki House Jeddah Saudi Arabia Tripadvisor
www.tripadvisor.com

Waldorf Astoria Resort And Club Boca Raton Restaurants
waldorfastoria3.hilton.com

The 10 Best Restaurants Near Zaikaki In Jeddah Makkah Province Tripadvisor
www.tripadvisor.com

Rose White Hotel Jeddah 3 Saudi Arabia From Us 82 Booked
rose-white-hotel-jeddah.booked.net

Maki House Hotelroomsearch Net
www.hotelroomsearch.net

Oppression By A Saudi Employer Khalifa Al Saif The Tragedy Of Al Saif Motors
corruptkhalifaandamir.wordpress.com

Maki House Jeddah Restaurant Reviews Photos Phone Number Tripadvisor
www.tripadvisor.com

مطعم ماكي Picture Of Maki House Jeddah Tripadvisor
www.tripadvisor.com

Saudi Arabia By Destination Magazine Ksa Issuu
issuu.com

Molecules January 2018 Browse Articles
www.mdpi.com

close